Observations and Characteristics of Unidentified Aerial Phenomena
Received Date: August 20, 2025 Accepted Date: September 17, 2025 Published Date: September 20, 2025
doi:10.17303/jaist.2025.2.205
Citation: B. Zhilyaev, V. Petukhov, S. Pokhvala (2025) Observations and Characteristics of Unidentified Aerial Phenomena. J Artif Intel Sost Comp Abstract 2: 1-12
Abstract
Context: "Unidentified Aerial Phenomena" (UAP) describe aerial objects that cannot be identified or explained. These phenomena have been the subject of significant interest, investigation, as governments and scientific communities. Below is a review of astronomical observations related to UAPs. We emphasize statistical measurements of data that are key findings for speed, altitude, and size estimation of UAPs.
Aims: Monitoring the daytime sky allows us to detect bright and dark objects moving at speeds of several Mach, hundreds of meters in size and more, and to assess their characteristics.
Methods: Two meteor stations for two-sided monitoring with a base of up to 120 km were used to detect luminous objects in the troposphere and near space. Observations were made in the visible and infrared regions of the spectrum.
Results: We are discovering UAPs showing regular flashes with a duration of hundredths of a second. Two-sided monitoring led to the detection of luminous objects in the troposphere at an altitude of 2.6 km, moving at a speed of 2.3 Mach with a linear size of about 6 meters. Two-sided monitoring of the daytime sky led to the detection of a luminous space object at an altitude of 1,174 km, moving at a speed of 282 km/s, with a linear size exceeding 100 meters. Colourimetry showed a space object that has an albedo comparable to that of the Moon (0.037). If we assume that the object glows with reflected light from the Sun, its size is estimated at 3.0 ± 0.4 km. The UAP was recorded by the Ukrainian armed forces in the combat zone at an estimated altitude of 8 km. Its speed is about 2.5 M. The object has a huge width of about 6 km and a height of about 1.5 km.
Keywords: Atmospheric Effects Instrumentation; Detectors Instrumentation; High Angular Resolution Instrumentation; Photometers Methods; Data Analysis Techniques; Image Processing
Introduction
The 2022 Pentagon Unidentified Aerial Phenomena (UAP) or Unidentified Flying Objects (UFO) Report covers approximately 510 catalogued UAP reports collected by branches of the U.S. military. “The 366 reports were assessed as routine airborne phenomena. The remaining 171 reports demonstrated unusual flight characteristics and require further analysis,” the report said. Thus, UFOs as pop culture objects have become objects of scientific research.
There is sufficient background information, which includes previous work on UAPs in Carlotto (1995, 2005, 2020), as well as anomalous space objects captured by a camera aboard the space shuttle Columbia in 1996 and near the Moon.
Vallee in the CAIPAN Workshop, CNES, Paris (2014), giving a talk on UAP research methodology, history and future steps. In our work, we follow his methodology.
The Main Astronomical Observatory of NAS of Ukraine conducts an independent study of unidentified phenomena in the atmosphere.
Unidentified anomalous, air, and space objects are deeply concealed phenomena. The main feature of the UAP is its high speed. Ordinary photo and video recordings will not capture the UAP. To detect UAP, we need to fine-tune (tuning) the equipment: shutter speed, frame rate, and dynamic range.
According to our data, there are two types of UAPs. The first is luminous objects brighter than the sky background. The second is dark objects, with contrast, according to our data, up to several per cent. Both types of UAPs exhibit high movement speeds. Their detection is a difficult experimental problem. The results of previous UAP study are published in [1]. Here we present our recent results.
Kyiv astronomers have identified three groups of objects (1) a group of bright spinning objects, (2) a group of bright structured objects and (3) a group of dark flying objects. Monitoring of the daytime and night sky led to the detection of bright and dark objects, moving at a speed from about 1M to 16M and sizes from about 20 to 100 meters. The detection of these objects is an experimental fact.
Observations and Data Processing
For UAP observations, we use stations used in astronomy to observe meteors. The station consists of an optical lens, a CMOS camera, a precision timing system and a computer. For UAP observations of the first two bjects, we used two meteor stations installed in Kyiv and in the Vinarivka village in the south of the Kyiv region. The Vinarivka station has an ASI 294 MC Pro camera and lens with a focal length of 28 and 50 mm. ASI 294 MC Pro camera has a FOV (field of view) of up to 9.7 deg, and a frame rate of up to 120 fps.
The ASI 174 MM camera in Kyiv has an FOV of 4.08 deg, actual frame rate more of than 200 fps. From simple trigonometry, it is easy to determine that objects at a distance of more than 995 km will fall into the field of view of the cameras at a base of 120 km. The SharpCap 4.0 program was used for data recording. Observations of objects were carried out in the daytime sky. Frames were recorded in the .ser format.
For UAP observations of the second object, the stations were equipped with ASI 178 MC and ASI 294 MC Pro cameras, and lenses with a focal length of 6 mm and 37 mm. The FOV are 5.5 and 4.58 deg. The actual frame rate was 238 and 50 fps.
Observation start times for the first object are UTC: 17/10/2022, 08:58:08.136. Observation start time for the second object is UTC: 23/07/2022, 07:23:10.831.
Analysis of Objects over Kyiv
Figures 1 and 2 show an image with the first object taken synchronously by two cameras in UTC: 17/10/2022, 08:58:08.136 with time precision of one millisecond.
Two-sided observations allow us to determine the characteristics of the UAP. Knowing parallax, simple trigonometry of triangles gives distance to the object, path and velocity of the object.
A parallax of 0.0464 rad (2.66 degrees) gives a distance to the object of 2600 km. For an hight of 26 degrees (Stellarium, UTC: 17/10/2022, 08:58:08) we estimate the altitude of the object at 1130 km. Vinarivka with 6 shots gives an angular velocity of 1.73 deg/s and a linear velocity of 78 km/s.
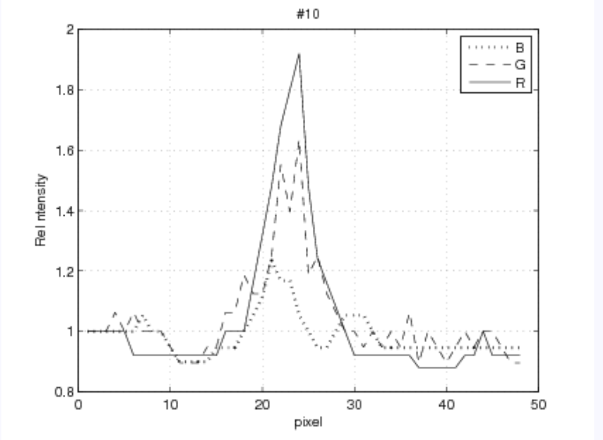
An image of the object can be seen in Figure 3. Figure 4 shows the color map of the object in RGB rays. The object size can be estimated to be 7 ± 1 pixels. The PSF (point spread function) of 60 the camera is about 2 x 2 pixels. This gives reason to consider the object as a finite-size object, and estimate the size of the object to be 3.0 ± 0.4 km.
Using the distance and size given above, one can to estimate the albedo of the object to be 0.037.
Figure. 5 demonstrates two-side observations of UAP for the second object in UTC: 23/07/2022, 07:23:10.831. For UAP observations of the second object, we used two meteor stations installed in Kyiv and in the Vinarivka village. The object cross frame of 5.5 degrees for 0.32 sec with 4.1 ms exposure. It demonstrates a speed of 17.1 degrees per second.
An object against the background of the Moon was detected at the zenith angle of 56 degrees. Parallax of about 5 degrees was evaluated. This allows us to evaluate a distance equal to 1524 km, an altitude of 1174 km, and a linear speed of 282 km/s.
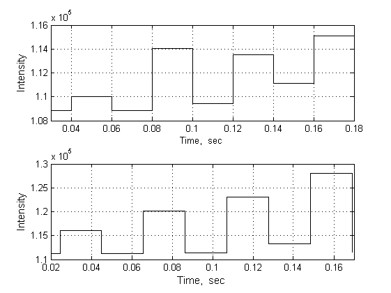
The coincidence of 2-point light curves in Figure. 7 proves we observe the same object from two points. Figure. 8 shows the light curve at a sampling rate of 238 Hz. The object flashes for 16 milliseconds at about 20 times per second. Note that the object was observed for only 0.32 seconds.The special feature of the object is the intensity of the glow drops to almost zero. It is natural to assume that a bright object shines by reflected sunlight. But this is not compatible with the intensity drop to zero.
Figure. 6 demonstrates the images with the Moon and bright object (top panel). The bottom panel shows the color RGB diagrams of the Moon and the bright object. The PSF (point spread function) of the camera is about 2 x 2 pixels and is almost the same size as the object. This gives reason 90 to consider the object as a point the albedo of the Moon and has a value source.
The color RGB diagrams of the Moon and the bright object are almost identical within the error limits. It can be assumed that the albedo of the object is similar to of 0.067 according to Allen (1963).
Assuming for the second object pixel size is 85 arcsecs, and R is 1524 km, the albedo is 0.067, we obtain the value for the object size equals 368 meters. If we set the albedo to 1 (the object reflects 100% of solar radiation), the size of the object will be 95 meters. We can state that the object has a very impressive size.
Analysis of Object over Vinarivka
For UAP observations of the objects in the troposphere, we used two meteor stations installed in Kyiv and in the Vinarivka village at a distance of 40 meters on August 04, 2023. Two-side monitoring allows us to evaluate the distance, altitude and speed of the object.
The first station has an ASI 294 MC Pro camera. ASI 294 MC Pro camera has a FOV (field of view) of up to 9.7 deg, and a frame rate of up to 120 fps. The second station has an ASI 174 MM camera that has an FOV of 4.08 deg, actual frame rate 110 more of than 200 fps. From simple trigonometry, it is easy to determine that objects at a distance of more than 950 m will fall into the field of view of the cameras at a base of 40 m.
The SharpCap 4.0 program was used for data recording. Observations of objects were carried out in the daytime sky. Frames were recorded in the .ser format.
Figure. 9 shows the UAP light curves of the object in Vinarivka from two cameras synchronized up to one millisecond. Figure. 10 shows tracks of the object taken synchronously by two cameras with a time precision of one millisecond. A parallax of 0.88 degrees gives a distance to the object of 2.6 km. Shots provide an angular velocity of 4.16 deg/s and a linear velocity of 532m/s (2.3 Mach).
Figure. 11 shows its size of about 20 pixels (8 arc minutes, about a quarter of the size of the Moon). The linear size of the object will be about 6.1 meters. The object demonstrates a periodicity of about 20 Hz (Figure. 12).
Results
Unidentified aerial objects are deeply cloaked phenomena. The main feature of UAPs is their high speed and variable brightness.
They exhibit brief bursts of brightness with a frequency of 10 - 20 Hz. The waveform of objects can be characterised by a duty cycle, i.e. the percentage of the ratio of pulse duration, or pulse width, to the total period of the waveform. Its duty cycle ranges from 10 per cent. This means that objects can be invisible ninety per cent of the time.
For two-side observations of UAP, it is necessary to synchronize two cameras with an accuracy of one millisecond. Shots at a rate of at least 50 frames per second in a field of view of 5 degrees at a base of 120 km allowing us to detect objects at a distance above 1000 km.
All the objects show variability of brightness. They show a periodicity from 10 to 20 Hz. The light curve at a sampling rate of 238 Hz shows flashes for 16 milliseconds at about 20 times per second.
Two-side monitoring led to the detection of luminous objects in the troposphere at an altitude of 2.6 km, moving at a speed of 2.3 Mach with a linear size of about 6 meters.
Two-side monitoring of the daytime sky led to the detection of luminous space object at an altitude of 1174 km, moving at a speed of 282 km/s. Colorimetry showed that the albedo of the space object is 0.037. Assuming the object shines with reflected sunlight from the Sun, its size is estimated to be approximately 400 meters.
Next space object detected at an altitude of 1130 km with a linear velocity of 78 km/s, about 3 km in size.
UAP Recorded by the Ukrainian Armed Forces in the Combat Zone
The source of nighttime UAP observations is the Institute of Military Intelligence of Ukraine. The 406th battalion of the UAF captured some UAP on its drone while observing the front line.
The video was captured using a DJI Mavic 3T drone equipped with a thermographic camera. DJI Mavic 3T specifications: (1) sensor - uncooled Vox microbolometer, (2) 12 μm pixel, (3) 30 Hz frame rate, (4) MP4 video format, (5) infrared wavelength 8 to 14 μm. The video is 17 seconds long. A typical frame of the video is shown in Figure. 13.
The object in the video (Figures. 13, 14) is a dark, elongated body, slightly irregular in shape, with a blurred edge.
Figure. 14 shows a dark object at the end of the observation. It can be stated that the object does not emit and has the characteristics of a completely black body. The low contrast of the image (about 7% at the beginning of the observation) makes it difficult to detect the object.
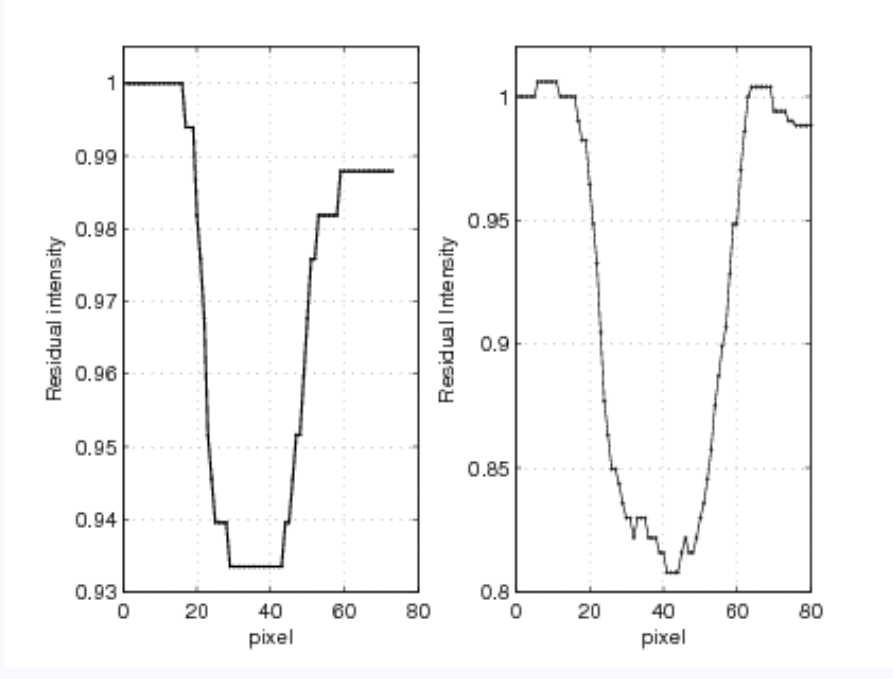
The object’s brightness and the sky’s background allow us to determine the distance by colorimetric methods. A prerequisite is scattering as the main source of atmospheric radiation. The distance can be determined from the residual intensity on the contrast map according to the graph in Figure. 15.
In the approximation of a homogeneous atmosphere with an altitude of 10 km, the distance S = 10 / sin (h) ‧ r, where h is the height of the object above the horizon, r is the residual intensity on the contrast map shown in Fig. 15. Using the approximation of a homogeneous atmosphere instead of a real atmosphere with an exponential density distribution gives an error of no more than 6% according to Allen (1963).
The height of the object above the horizon at the beginning of the observation is 6.1 degrees. The contrast map of the dark object in the IR wavelength range in Figure. 15 estimates the distance to the object to be 88 km at the beginning and 75 km at the end. The height of the object can be estimated at 8 km.
Figure. 16 shows linear changes of the residual intensity along the trajectory. This indicates that the velocity of the object is constant. Its radial velocity will be about 806 m/s (about 2.5 M).
The angular size of the object can be estimated at 40 pixels, and its height at 10 pixels (Figure 14). It can be assumed that the object has a tremendous width of about 6 km and a height of about 1.5 km.
- Zhilyaev BE, Petukhov VN, Reshetnyk VM, 2022.
- Allen C W, Astrophysical Quantities; 2d ed.; Athlone Press; London, 1963.
- Zagury F; the Color of the Sky. Atmospheric and Climate Sciences, 2012, 2, 510-17, 160.
- M. J. Carlotto, 1995, Journal of Scientific Exploration, Vol. 9. No. 1.
- M.J. Carlotto, (2005), New Frontiers in Science, Vol. 4 No. 4.
- MJ. Carlotto, 2020, https://www.youtube.com/watch?v=uJOIIEQF_xs
- J. Vallee, (2014). A strategy for research, CAIPAN Workshop, CNES, Paris, 2014.
- Boris Zhilyaev, David Tcheng, Vladimir Petukhov, (2023).
- Boris Zhilyaev, Dan Caron, (2024).

















Figures at a glance